Peerless Qis Statement In Stock Audit
Ad Try Stockopedia for free to join our supportive community of private investors.
Qis statement in stock audit. Get started now with 0 commissions on online trades. Stock Audit is conducted to ensure. The stock audit involves audit of latest stock and debtors information of the borrower and the report should give the position of stock and debtors ideally on the date of visit.
More than 11 million clients choose FBS as their reliable partner make the proven choice. Whether physical stock confirming with the stock statement submitted to the Banker. Ad Innovative range of Tools Products to get you started on trading in the US.
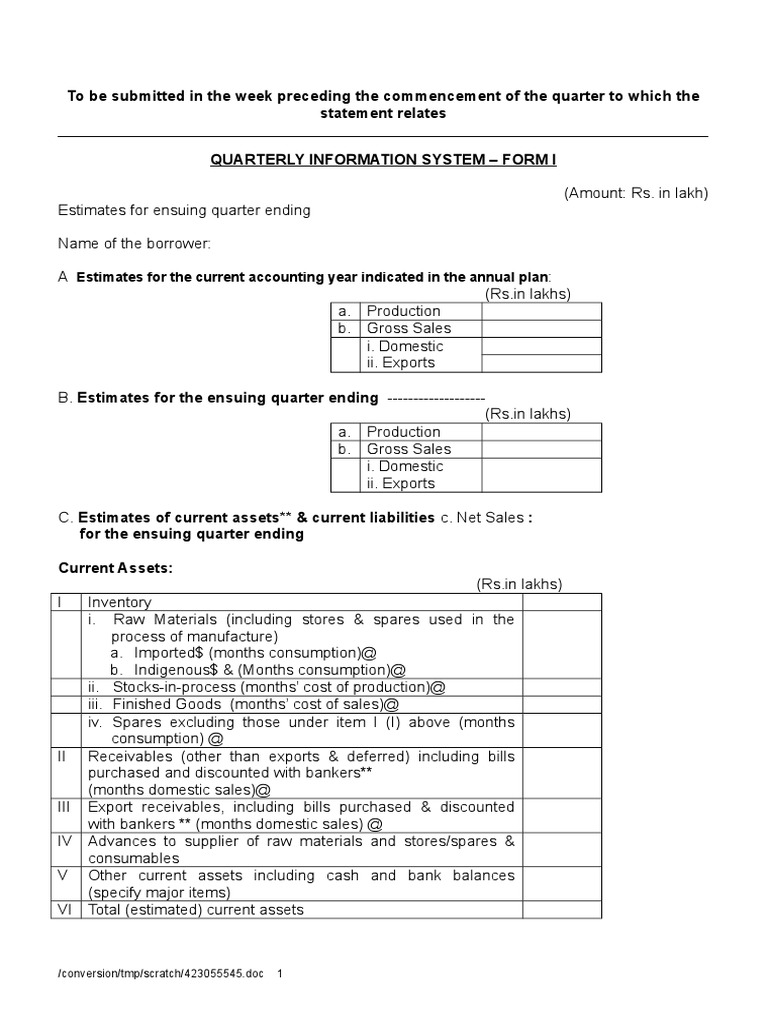
Finished Goods months cost of sales iv. Ad Choose from the leading companies and make profit by buying and selling their stocks. QIS quarterly information system is a report need to be prepared submitted by the companyfirm or any business concern to the bank from which it has borrowed money in terms of loan working capital or cc etcwhere CC limit is or 500 crore otherwise QIS is not applicable.
Demand Promissory Note Hypothecation Deed Guarantee Bond etc while other folder contains Application form project report Sanction Letter Audited Financial Statements previous stock audit report etc. General review of operations for excess Ad voc allowed. It can represent a large balance of assets or capital.
Raw Materials including stores and spares used in the process of manufacture a Imported months consumption b Indigenous months consumption Ii Stock-in-process months cost of production iii. Ad Trade CFDs on Stocks With No Commissions Spreads Apply. Compare Choose Yours.
Banks generally has the system of maintaining two folders in few cases only one folder for each borrower of which one is used for keeping original documents executed by the borrower viz. Proper Preservationstorage of Stock. Gain unique insights from our data-driven research team.
 
										
				 
										
				 
										
				 
										
				 
										
				